Clicca qui per scaricare le istruzioni
Il breath test al lattosio è un test non invasivo che permette di monitorare la funzionalità dell’intestino. L’intestino è diviso in due “settori”: l’intestino Tenue (o Piccolo intestino), a sua volta suddiviso in Duodeno, Digiuno e Ileo, con un contenuto batterico molto basso (102 – 105 CFU/mL) e l’intestino Crasso (o Grande intestino), suddiviso in Cieco, Colon (a sua volta suddiviso in Ascendente, Trasverso, Discendente, Sigma) e Retto, che invece ha un alto contenuto batterico (1015 CFU/mL). Il Piccolo e il Grande sono separati da una valvola, la valvola Ileo-Cecale.
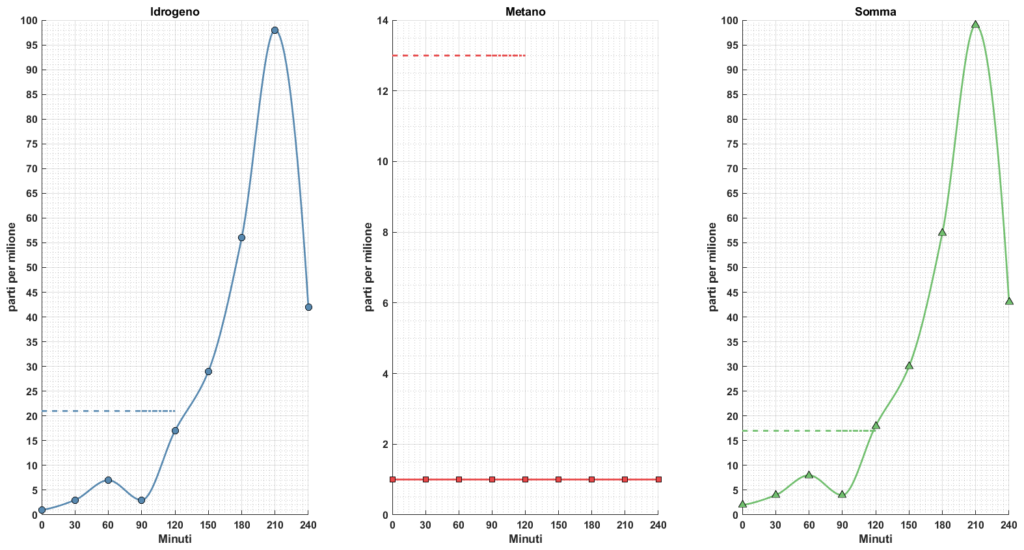
Il lattosio è un disaccaride (è una molecola formata da glucosio e galattosio) che le nostre cellule sono in grado di scindere nei due componenti grazie all’enzima Lattasi, presente sull’orletto a spazzola delle cellule intestinali, e fare entrare al loro interno le molecole di glucosio e galattosio, che poi saranno processate nella via metabolica della glicolisi. Anche i batteri sanno utilizzare il lattosio e lo fermentano. Dalla fermentazione batterica del lattosio si producono 2 gas, l’Idrogeno e il metano i quali passano la barriere enterica, entrano nel sangue, vengono trasportati ai polmoni e, di lì, all’esterno.
Analizzando la composizione dell’espirato prima e dopo l’assunzione di lattosio (ogni 30 minuti per 4 ore) abbiamo 2 informazioni:


Il test viene effettuato in laboratorio su prenotazione, oppure comodamente a casa propria e il kit viene recapitato e ritirato da un corriere.
Nella nostra galleria multimediale troverai anche un link per il tutorial di esecuzione del test.
Nel nostro blog, puoi trovare un post che spiega con più nei dettagli cosa sia l’intolleranza al lattosio.
Solamente clienti che hanno effettuato l'accesso ed hanno acquistato questo prodotto possono lasciare una recensione.
Questo utente ha lasciato solo una valutazione.
Questo utente ha lasciato solo una valutazione.
Hai visto tutte le recensioni